SPE1: Small black-oil gas injection
Blackoil Validation InputFilejulia
using Jutul, JutulDarcy, GLMakie, DelimitedFiles
spe1_dir = JutulDarcy.GeoEnergyIO.test_input_file_path("SPE1")
case = setup_case_from_data_file(joinpath(spe1_dir, "SPE1.DATA"))
ws, states = simulate_reservoir(case, output_substates = true)ReservoirSimResult with 129 entries:
wells (2 present):
:INJ
:PROD
Results per well:
:wrat => Vector{Float64} of size (129,)
:Aqueous_mass_rate => Vector{Float64} of size (129,)
:orat => Vector{Float64} of size (129,)
:bhp => Vector{Float64} of size (129,)
:mrat => Vector{Float64} of size (129,)
:gor => Vector{Float64} of size (129,)
:lrat => Vector{Float64} of size (129,)
:mass_rate => Vector{Float64} of size (129,)
:rate => Vector{Float64} of size (129,)
:Vapor_mass_rate => Vector{Float64} of size (129,)
:control => Vector{Symbol} of size (129,)
:Liquid_mass_rate => Vector{Float64} of size (129,)
:wcut => Vector{Float64} of size (129,)
:grat => Vector{Float64} of size (129,)
states (Vector with 129 entries, reservoir variables for each state)
:Pressure => Vector{Float64} of size (300,)
:ImmiscibleSaturation => Vector{Float64} of size (300,)
:BlackOilUnknown => Vector{BlackOilX{Float64}} of size (300,)
:TotalMasses => Matrix{Float64} of size (3, 300)
:Rs => Vector{Float64} of size (300,)
:Saturations => Matrix{Float64} of size (3, 300)
time (report time for each state)
Vector{Float64} of length 129
result (extended states, reports)
SimResult with 120 entries
extra
Dict{Any, Any} with keys :simulator, :config
Completed at Dec. 19 2025 13:45 after 2 seconds, 708 milliseconds, 37.29 microseconds.Load reference
julia
csv_path = joinpath(spe1_dir, "REFERENCE.CSV")
data, header = readdlm(csv_path, ',', header = true)
time_ref = data[:, 1]
time_jutul = deepcopy(ws.time)
wells = deepcopy(ws.wells)
wnames = collect(keys(wells))
nw = length(wnames)
day = si_unit(:day)
cmap = :tableau_hue_circle
inj = Symbol[]
prod = Symbol[]
for (wellname, well) in pairs(wells)
qts = well[:wrat] + well[:orat] + well[:grat]
if sum(qts) > 0
push!(inj, wellname)
else
push!(prod, wellname)
end
end
function plot_well_comparison(response, well_names, reponse_name = "$response")
fig = Figure(size = (1000, 400))
if response == :bhp
ys = 1/si_unit(:bar)
yl = "Bottom hole pressure / Bar"
elseif response == :wrat
ys = si_unit(:day)
yl = "Surface water rate / m³/day"
elseif response == :grat
ys = si_unit(:day)/1e6
yl = "Surface gas rate / 10⁶ m³/day"
elseif response == :orat
ys = si_unit(:day)/(1000*si_unit(:stb))
yl = "Surface oil rate / 10³ stb/day"
else
error("$response not ready.")
end
welltypes = []
ax = Axis(fig[1:4, 1], xlabel = "Time / days", ylabel = yl)
i = 1
linehandles = []
linelabels = []
for well_name in well_names
well = wells[well_name]
label_in_csv = "$well_name:$response"
ref_pos = findfirst(x -> x == label_in_csv, vec(header))
qoi = copy(well[response]).*ys
qoi_ref = data[:, ref_pos].*ys
tot_rate = copy(well[:rate])
@. qoi[tot_rate == 0] = NaN
grat_ref = data[:, findfirst(x -> x == "$well_name:grat", vec(header))]
orat_ref = data[:, findfirst(x -> x == "$well_name:orat", vec(header))]
wrat_ref = data[:, findfirst(x -> x == "$well_name:wrat", vec(header))]
tot_rate_ref = grat_ref + orat_ref + wrat_ref
@. qoi_ref[tot_rate_ref == 0] = NaN
crange = (1, max(length(well_names), 2))
lh = lines!(ax, time_jutul./day, abs.(qoi),
color = i,
colorrange = crange,
label = "$well_name", colormap = cmap
)
push!(linehandles, lh)
push!(linelabels, "$well_name")
lines!(ax, time_ref./day, abs.(qoi_ref),
color = i,
colorrange = crange,
linestyle = :dash,
colormap = cmap
)
i += 1
end
l1 = LineElement(color = :black, linestyle = nothing)
l2 = LineElement(color = :black, linestyle = :dash)
Legend(fig[1:3, 2], linehandles, linelabels, nbanks = 3)
Legend(fig[4, 2], [l1, l2], ["JutulDarcy.jl", "OPM Flow"])
fig
endplot_well_comparison (generic function with 2 methods)Injector BHP
julia
plot_well_comparison(:bhp, inj, "Bottom hole pressure")
Producer BHP
julia
plot_well_comparison(:bhp, prod, "Bottom hole pressure")
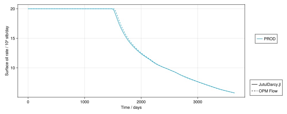
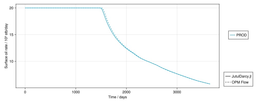
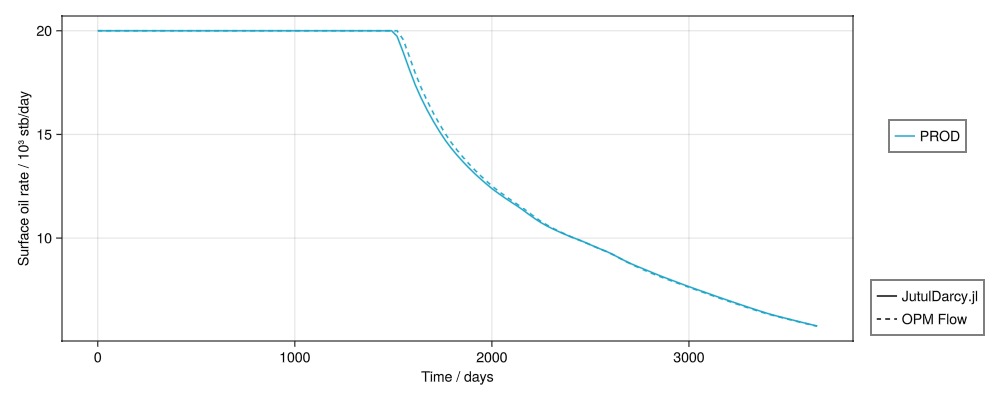
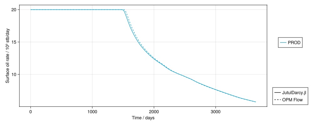
Producer oil rate
julia
plot_well_comparison(:orat, prod, "Oil surface rate")
Producer gas rate
julia
plot_well_comparison(:grat, prod, "Gas surface rate")
Example on GitHub
If you would like to run this example yourself, it can be downloaded from the JutulDarcy.jl GitHub repository as a script, or as a Jupyter Notebook
This example took 10.727597465 seconds to complete.This page was generated using Literate.jl.