Relative Permeabilities in JutulDarcy
Introduction PropertiesWe will show a few of the functions for evaluating relative permeabilities, show how these can be fitted to data and finally how they can be used in simulation.
using GLMakie
using JutulDarcy, Jutul
import JutulDarcy: table_to_relperm, PhaseRelativePermeability, brooks_corey_relperm, let_relperm, ReservoirRelativePermeabilitiesDefine helper functions
The following functions are used to set up a simple reservoir model with a linear displacement for a given relative permeability function. The function also takes in the viscosity ratio as an optional parameter.
Simulation helpers
function setup_model_with_relperm(kr; mu_ratio = 1.0)
mesh = CartesianMesh(1000, 1000.0)
domain = reservoir_domain(mesh)
nc = number_of_cells(domain)
sys = ImmiscibleSystem((LiquidPhase(), VaporPhase()), reference_densities = [1000.0, 700.0])
model = setup_reservoir_model(domain, sys)
rmodel = reservoir_model(model)
replace_variables!(rmodel, RelativePermeabilities = kr)
JutulDarcy.add_relperm_parameters!(rmodel)
parameters = setup_parameters(model)
parameters[:Reservoir][:PhaseViscosities] = repeat([mu_ratio*1e-3, 1e-3], 1, nc)
return (model, parameters)
end
function simulate_bl(model, parameters; pvi = 0.75)
domain = reservoir_domain(model)
nc = number_of_cells(domain)
nstep = nc
timesteps = fill(3600*24/nstep, nstep)
p0 = 100*si_unit(:bar)
tot_time = sum(timesteps)
pv = pore_volume(domain)
irate = pvi*sum(pv)/tot_time
src = SourceTerm(1, irate, fractional_flow = [1.0, 0.0])
bc = FlowBoundaryCondition(nc, p0/2)
forces = setup_reservoir_forces(model, sources = src, bc = bc)
state0 = setup_reservoir_state(model, Pressure = p0, Saturations = [0.0, 1.0])
ws, states = simulate_reservoir(state0, model, timesteps,
forces = forces, parameters = parameters, info_level = -1)
return states[end][:Saturations][1, :]
end
function define_relperm_single_region(krw_t, krow_t, sw_t)
krow = PhaseRelativePermeability(reverse(1.0 .- sw), reverse(krow_t), label = :ow)
krw = PhaseRelativePermeability(sw, krw_t, label = :ow)
return ReservoirRelativePermeabilities(w = krw, ow = krow)
enddefine_relperm_single_region (generic function with 1 method)Single region table plotting functions
function simulate_and_plot(sw, krw, krow, name)
fig = Figure(size = (1200, 800))
ax = Axis(fig[1, 1], title = name)
colors = Makie.wong_colors()
lines!(ax, sw, krw, label = L"K_{rw}", color = colors[1], linewidth = 2)
lines!(ax, sw, krow, label = L"K_{row}", color = colors[1], linestyle = :dash, linewidth = 2)
axislegend(position = :ct)
krdef = define_relperm_single_region(krw, krow, sw)
ax = Axis(fig[2, 1], title = L"\text{Injection front at 0.75 PVI}")
for mu_ratio in [10, 5, 1, 0.2, 0.1]
println("Simulating with mu_ratio = $mu_ratio")
model, parameters = setup_model_with_relperm(krdef, mu_ratio = mu_ratio)
water_front = simulate_bl(model, parameters)
lines!(ax, water_front, label = L"\mu_w/\mu_o=%$mu_ratio")
end
axislegend()
return fig
endsimulate_and_plot (generic function with 1 method)Brooks-Corey and LET relative permeabilities
We will now show how to use the brooks_corey_relperm and let_relperm to generate relative permeability tables. These tables can in principle be used in any simulator that supports relative permeability tables.
We define a saturation range and calculate the relative permeabilities for two phases. We then simulate a simple 1D displacement and plot the water front.
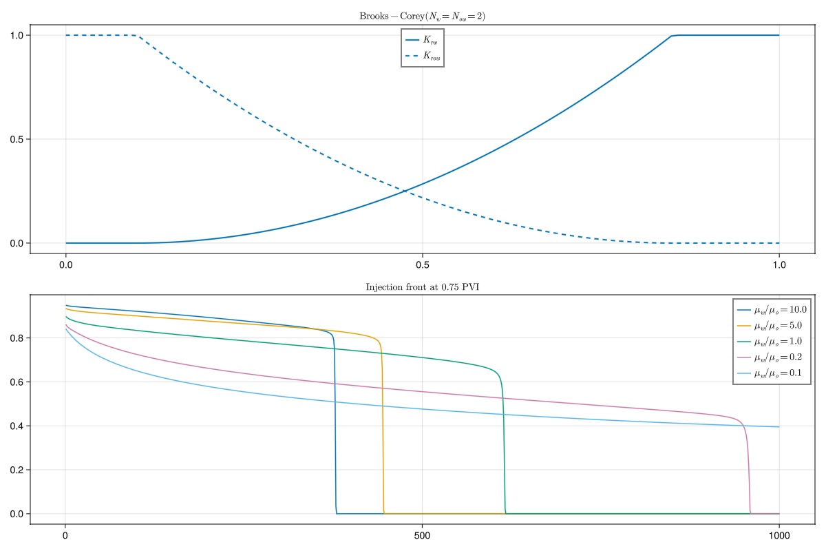
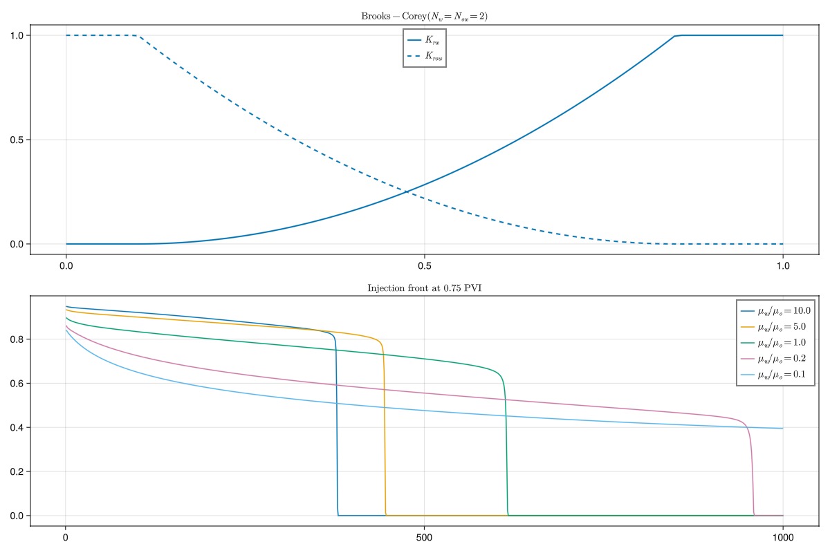
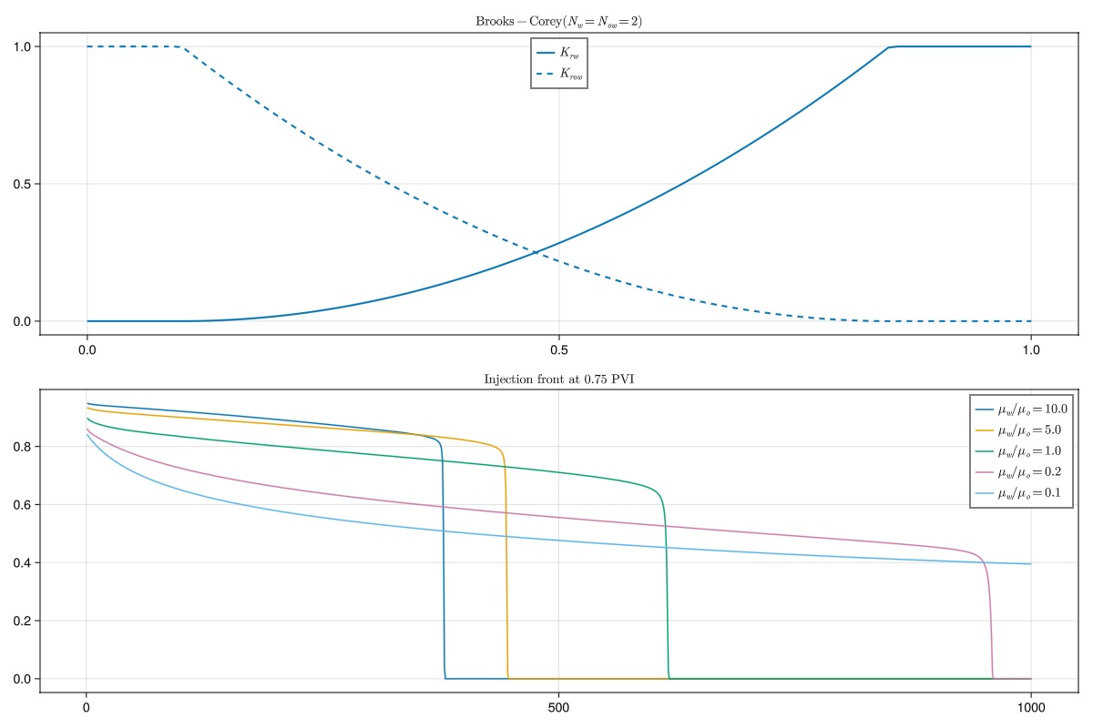
Brooks-Corey
The Brooks-Corey model is a simple model that can be used to generate relative permeabilities. The model is defined in the mobile region as:
where
and, similarly, for the oil phase:
JutulDarcy contains a function brooks_corey_relperm that can be used to evaluate the values for a given saturation range:
sw = range(0, 1, 100)
so = 1.0 .- sw
swi = 0.1
srow = 0.15
r_tot = swi + srow
krw = brooks_corey_relperm.(sw, n = 2, residual = swi, residual_total = r_tot)
krow = brooks_corey_relperm.(so, n = 2, residual = srow, residual_total = r_tot)
simulate_and_plot(sw, krw, krow, L"\text{Brooks-Corey} (N_w = N_{ow} = 2)")
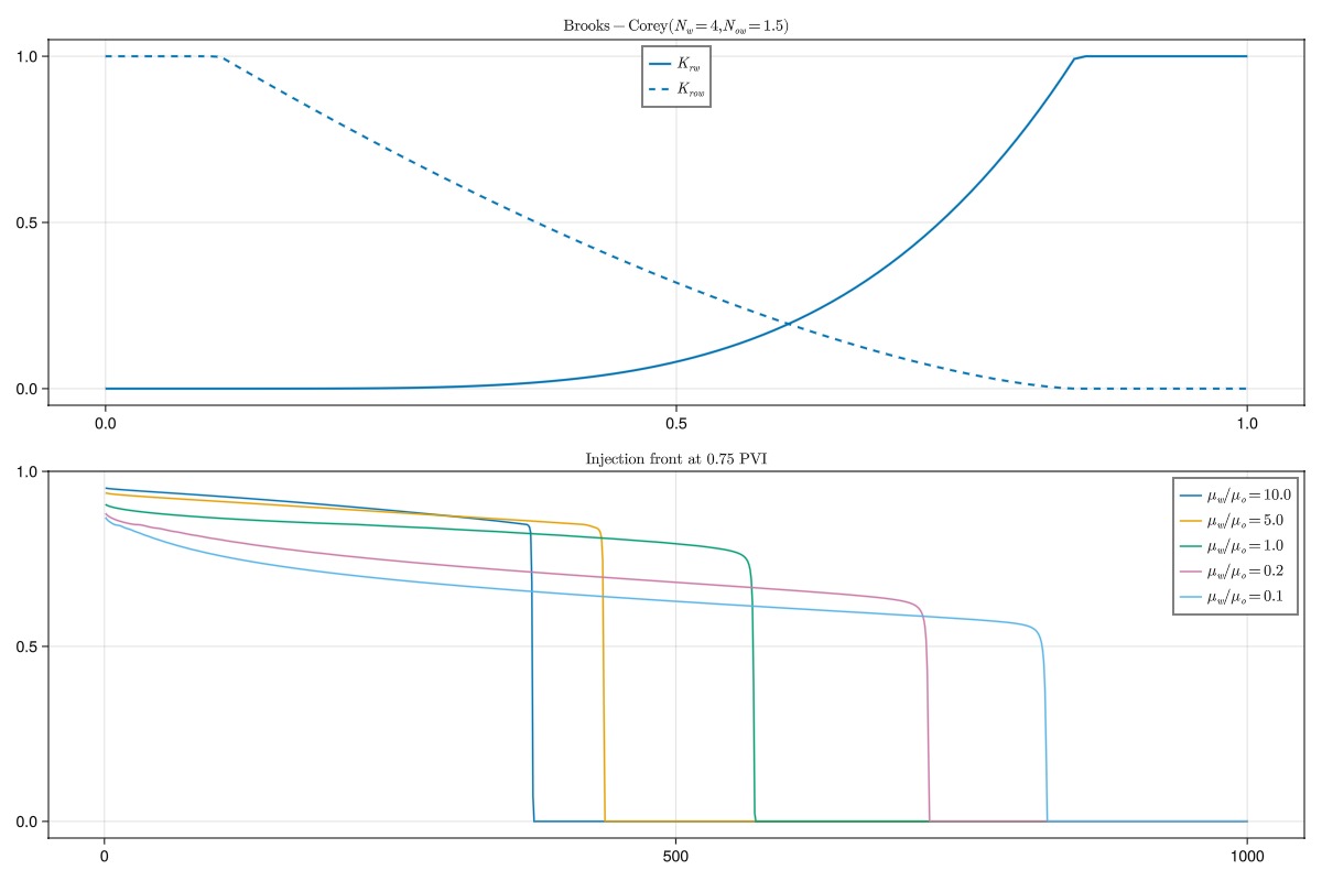
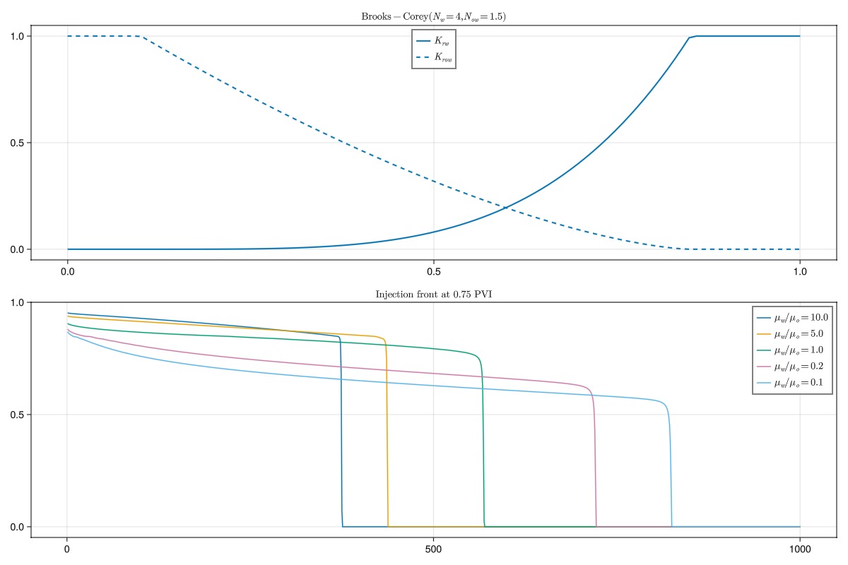
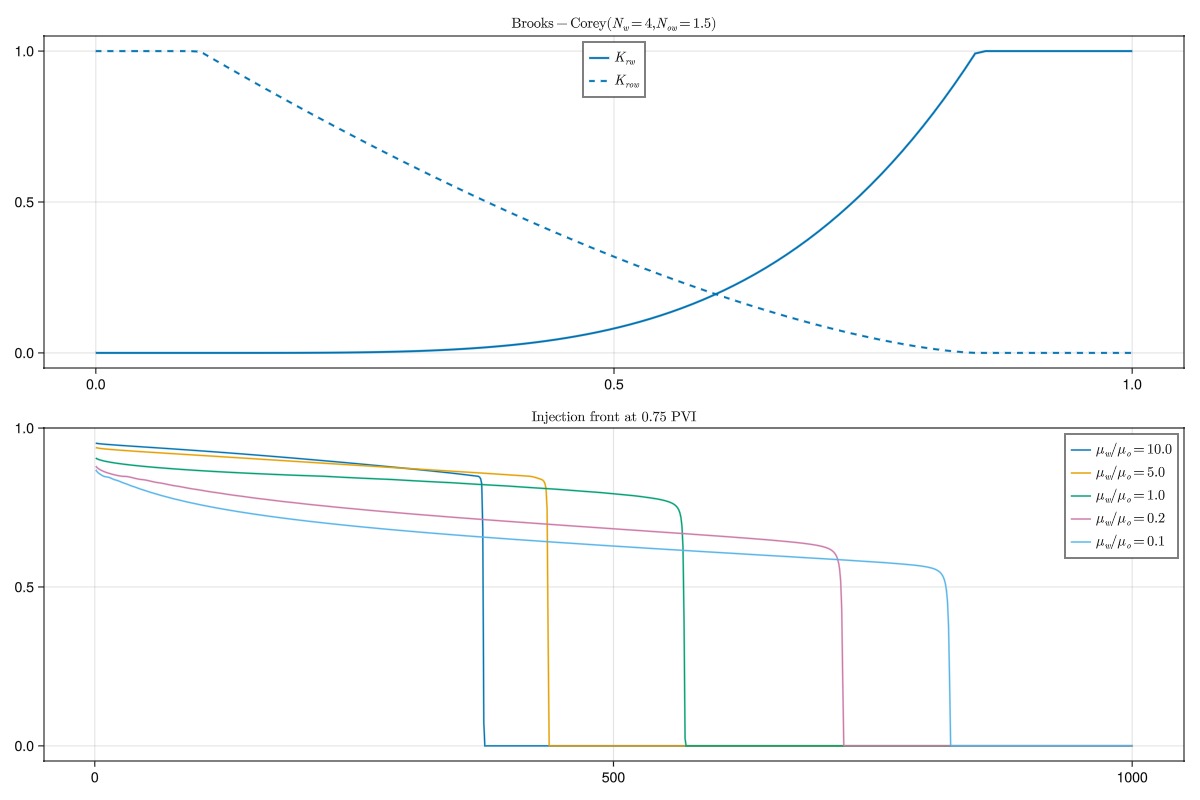
Brooks-Corey: Different exponents
We can also use different exponents for the water and oil phases. Here we pick other values for the exponents:
krw = brooks_corey_relperm.(sw, n = 4, residual = swi, residual_total = r_tot)
krow = brooks_corey_relperm.(so, n = 1.5, residual = srow, residual_total = r_tot)
simulate_and_plot(sw, krw, krow, L"\text{Brooks-Corey} (N_w = 4, N_{ow} = 1.5)")
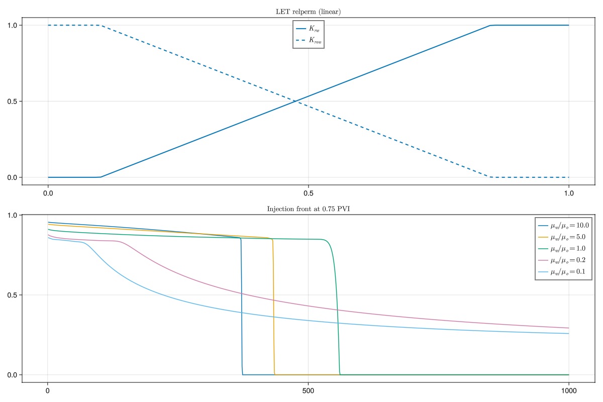
LET relative permeabilities
The LET model is a generalization of the Brooks-Corey model that introduces additional parameters to more easily control the shape of the curve. It is defined as:
The oil phase is defined analogously. The LET model has three exponents
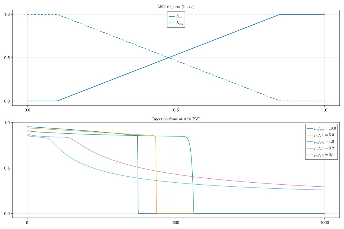
LET table as fully linear
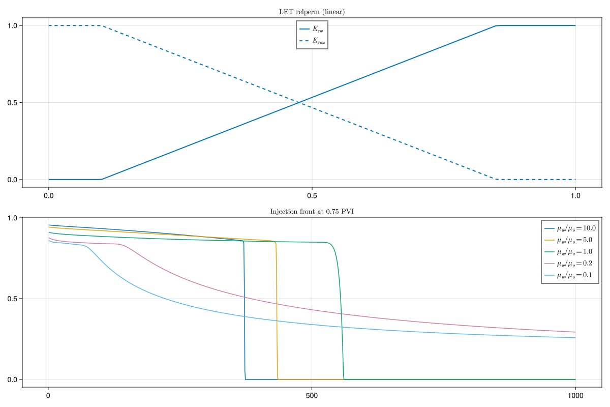
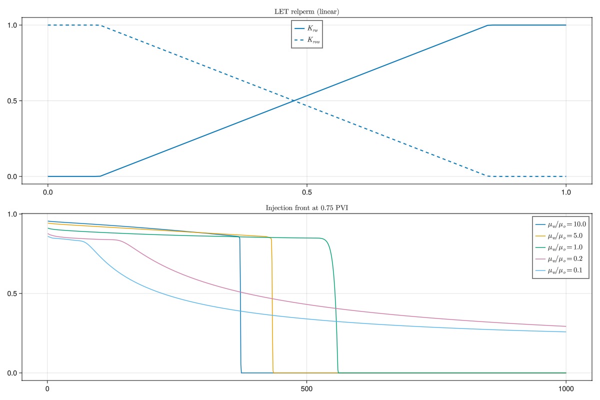
We can use the let_relperm function to generate a fully linear relative permeability curve, i.e.
krw = let_relperm.(sw, L = 1.0, E = 1.0, T = 1.0, residual = swi, residual_total = r_tot)
krow = let_relperm.(so, L = 1.0, E = 1.0, T = 1.0, residual = srow, residual_total = r_tot)
simulate_and_plot(sw, krw, krow, L"\text{LET relperm (linear)}")
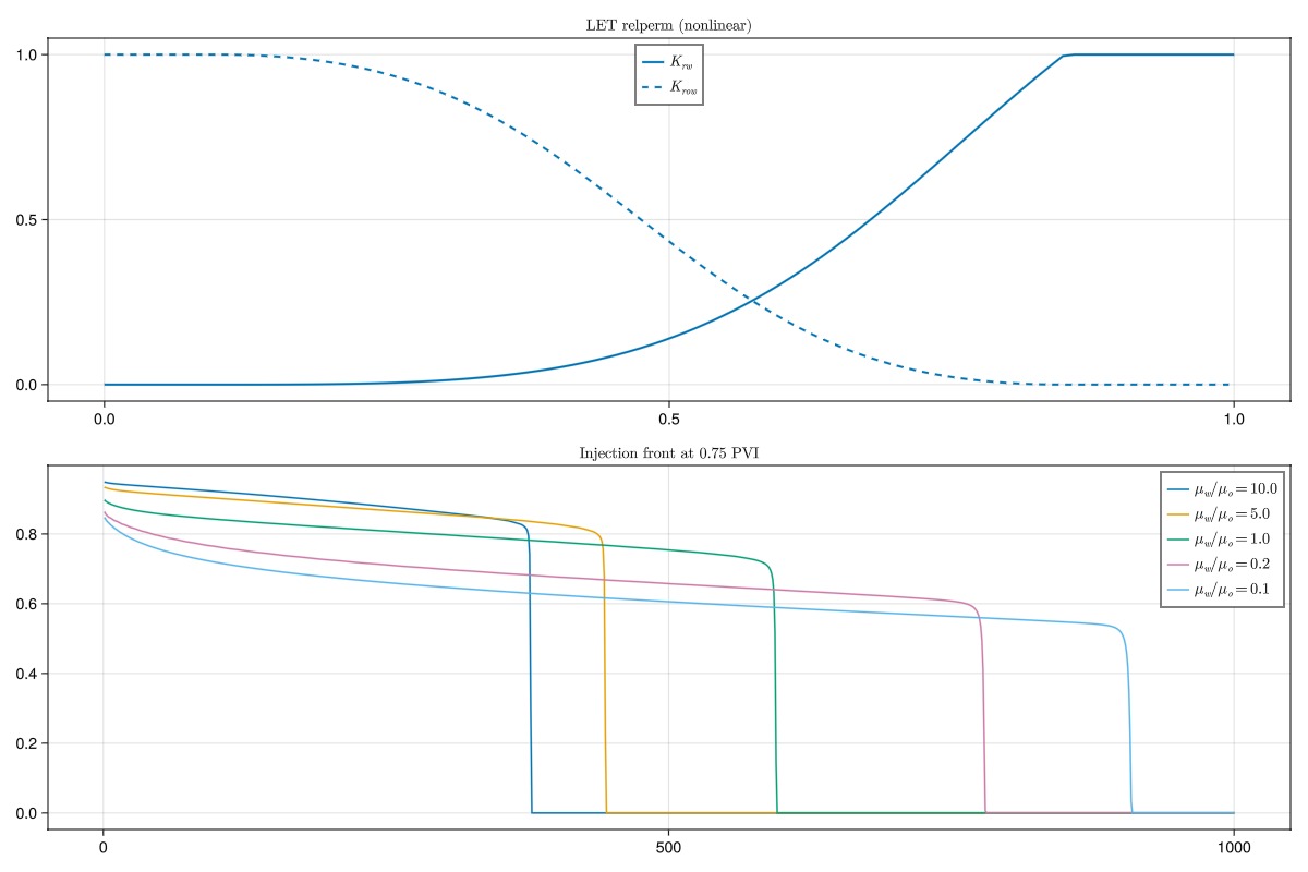
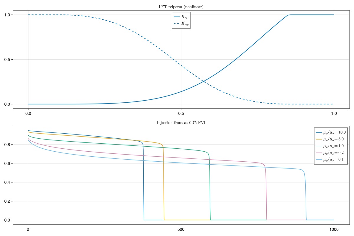
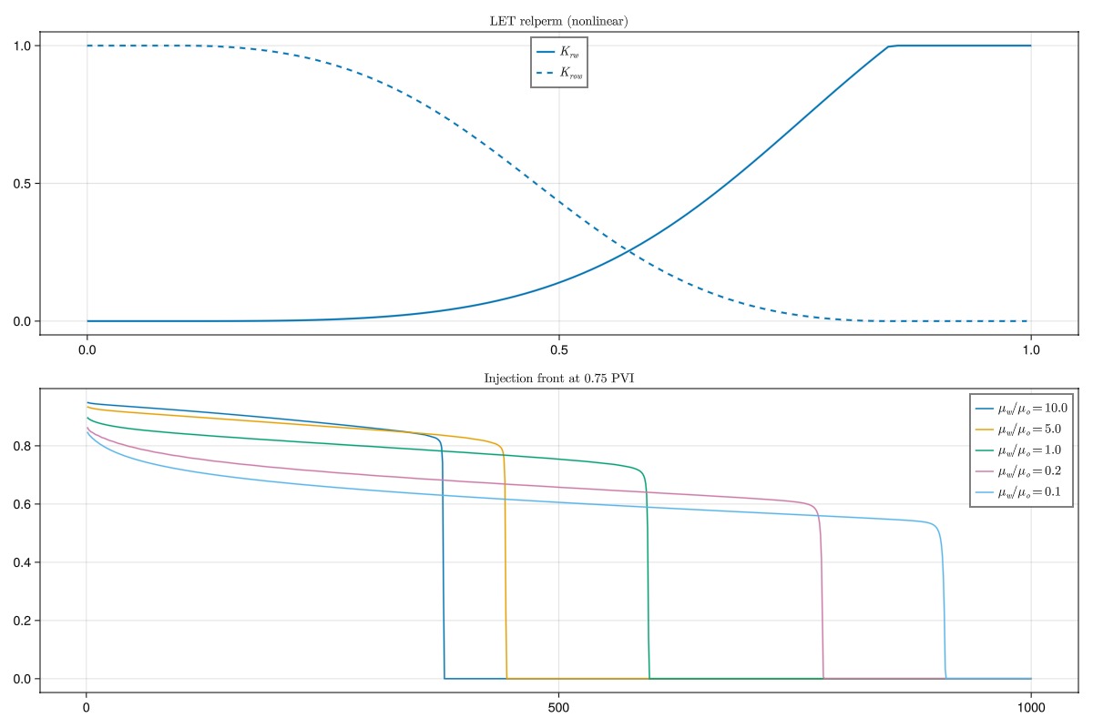
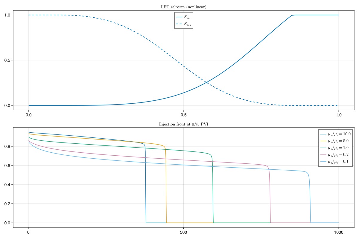
LET table, nonlinear exponents
The functions are immediately more interesting if we use nonlinear exponents.
krw = let_relperm.(sw, L = 3.0, E = 2.0, T = 1.0, residual = swi, residual_total = r_tot)
krow = let_relperm.(so, L = 2.0, E = 1.0, T = 2.0, residual = srow, residual_total = r_tot)
simulate_and_plot(sw, krw, krow, L"\text{LET relperm (nonlinear)}")
Fitting relative permeabilities to data
We can use either the Brooks-Corey or LET models to fit relative permeabilities to data. We generate some synthetic data and define a function that gives the sum of squares mismatch function between the data and the chosen LET model. As these functions are relatively simple Julia functions, we can use the Optim package to perform optimization to find the best fit.
We do this by setting up an objective function that takes the current LET parameters as a flat vector with length five and returns the sum of squares. As Julia is a pretty fast programming language, performing a thousand gradient-free evaluations should only take a few milliseconds, but we could also have used a differentiable optimizer if we wanted to.
The optimizer is provided lower limits for the parameters to avoid numerical issues. The initial guess is a completely linear LET function.
import Optim
s_to_match = [0.1, 0.15, 0.2, 0.3, 0.4, 0.5, 0.6, 0.7, 0.8, 0.9, 1.0]
kr_to_match = [0.0, 0.0, 0.015, 0.025, 0.1, 0.2, 0.4, 0.6, 0.90, 0.90, 0.90]
function relperm_mismatch(x)
L, E, T, r, kr_max = x
kr = let_relperm.(s_to_match, L = L, E = E, T = T, residual = r, kr_max = kr_max)
return sum((kr .- kr_to_match).^2)
end
x0 = [1.0, 1.0, 1.0, 0.0, 1.0]
lower = [0.0, 0.0, 0.0, 0.0, 0.1]
upper = [20, 20, 20, 0.5, 1.0]
res = Optim.optimize(relperm_mismatch, lower, upper, x0, Optim.NelderMead(), Optim.Options(iterations = 100000))
L, E, T, r, kr_max = Optim.minimizer(res)
res * Status: success
* Candidate solution
Final objective value: 5.894436e-03
* Found with
Algorithm: Nelder-Mead
* Convergence measures
√(Σ(yᵢ-ȳ)²)/n ≤ 1.0e-08
* Work counters
Seconds run: 0 (vs limit Inf)
Iterations: 510
f(x) calls: 811Plot the matched function
We get a pretty good match - the optimization is able to find reasonable parameters without sign of overfitting. This is because the LET functions are designed to always give a physically reasonable relative permeability curve.
fmt = x -> round(x, digits = 2)
println("Optimized parameters:\n\tL = $(fmt(L))\n\tE = $(fmt(E))\n\tT = $(fmt(T))\n\tr = $(fmt(r))\n\tkr_max = $(fmt(kr_max))")
fig = Figure(size = (800, 600))
ax = Axis(fig[1, 1], title = "Optimized LET Relative Permeability")
s_fine = range(0, 1, 1000)
initial_kr = let_relperm.(s_fine, L = x0[1], E = x0[2], T = x0[3], residual = x0[4], kr_max = x0[5])
optimized_kr = let_relperm.(s_fine, L = L, E = E, T = T, residual = r, kr_max = kr_max)
scatter!(ax, s_to_match, kr_to_match, label = "Data")
lines!(ax, s_fine, optimized_kr, label = "Optimized LET")
lines!(ax, s_fine, initial_kr, label = "Initial LET")
axislegend(position = :ct)
fig
Multiple regions in JutulDarcy
Relative permeabilities are typically associated with the rock type of the reservoir. If multiple rock types are present, they should be given different relative permeability functions. This can be done by defining a region vector that indices the rock type of each cell. We also define the relative permeability of each phase to be a Tuple of two relative permeability functions, one for each region.
We set up utility functions for setting up a two-region relative permeability and then demonstrate this with a simple example that uses Brooks-Corey.
function define_relperm_two_regions(krw_t1, krow_t1, krw_t2, krow_t2, sw_t, reg)
krow1 = PhaseRelativePermeability(reverse(1.0 .- sw), reverse(krow_t1), label = :ow)
krw1 = PhaseRelativePermeability(sw, krw_t1, label = :ow)
krow2 = PhaseRelativePermeability(reverse(1.0 .- sw), reverse(krow_t2), label = :ow)
krw2 = PhaseRelativePermeability(sw, krw_t2, label = :ow)
return ReservoirRelativePermeabilities(w = (krw1, krw2), ow = (krow1, krow2), regions = reg)
end
function simulate_and_plot_two_regions(sw, krw1, krow1, krw2, krow2, name)
fig = Figure(size = (1200, 800))
ax = Axis(fig[1, 1], title = name)
colors = Makie.wong_colors()
lines!(ax, sw, krw1, label = L"K_{rw}^1", color = colors[1], linewidth = 2)
lines!(ax, sw, krow1, label = L"K_{row}^1", color = colors[1], linestyle = :dash, linewidth = 2)
lines!(ax, sw, krw2, label = L"K_{rw}^2", color = colors[2], linewidth = 2)
lines!(ax, sw, krow2, label = L"K_{row}^2", color = colors[2], linestyle = :dash, linewidth = 2)
axislegend(position = :ct)
reg = ones(Int, 1000)
reg[250:end] .= 2
krdef = define_relperm_two_regions(krw1, krow1, krw2, krow2, sw, reg)
ax = Axis(fig[2, 1], title = L"\text{Injection front at 0.75 PVI}")
for mu_ratio in [10, 5, 1, 0.2, 0.1]
println("Simulating with mu_ratio = $mu_ratio")
model, parameters = setup_model_with_relperm(krdef, mu_ratio = mu_ratio)
water_front = simulate_bl(model, parameters)
lines!(ax, water_front, label = L"\mu_w/\mu_o=%$mu_ratio")
end
vspan!(ax, 0, 250, color = (:red, 0.1), label = "Region 1")
vspan!(ax, 250, 1000, color = (:green, 0.1), label = "Region 2")
axislegend()
fig
end
swi = 0.1
srow = 0.15
r_tot = swi + srow
krw1 = brooks_corey_relperm.(sw, n = 2, residual = swi, residual_total = r_tot)
krow1 = brooks_corey_relperm.(so, n = 3, residual = srow, residual_total = r_tot)
swi2 = 0.05
srow2 = 0.2
r_tot2 = swi2 + srow2
krw2 = brooks_corey_relperm.(sw, n = 1.5, residual = swi2, residual_total = r_tot2)
krow2 = brooks_corey_relperm.(so, n = 2.2, residual = srow2, residual_total = r_tot2)
simulate_and_plot_two_regions(sw, krw1, krow1, krw2, krow2, L"\text{Two regions}")
SWOF/SGOF-type tables
The table_to_relperm function can be used to convert SWOF/SGOF tables to the JutulDarcy format. The function takes in a table and a saturation range and returns a tuple of two relative permeability functions.
We demonstrate this by using a simple SWOF table and then feed this to the converter before simulating a bit.
Note that JutulDarcy automatically sets up these functions when reading DATA files, so this is only necessary if you want to use the functions in a custom workflow.
swof = hcat(
range(0, 1, length=10),
[0.0, 0.1, 0.15, 0.25, 0.35, 0.45, 0.55, 0.7, 0.85, 1.0],
reverse(range(0, 1, length=10)),
zeros(10)
)10×4 Matrix{Float64}:
0.0 0.0 1.0 0.0
0.111111 0.1 0.888889 0.0
0.222222 0.15 0.777778 0.0
0.333333 0.25 0.666667 0.0
0.444444 0.35 0.555556 0.0
0.555556 0.45 0.444444 0.0
0.666667 0.55 0.333333 0.0
0.777778 0.7 0.222222 0.0
0.888889 0.85 0.111111 0.0
1.0 1.0 0.0 0.0Convert to relperm objects and show
krw, krow = table_to_relperm(swof)
krwPhaseRelativePermeability for w:
.k: Internal representation: Jutul.LinearInterpolant{Vector{Float64}, Vector{Float64}, Missing}([-1.0e-16, 0.1111111111111111, 0.2222222222222222, 0.3333333333333333, 0.4444444444444444, 0.5555555555555556, 0.6666666666666666, 0.7777777777777778, 0.8888888888888887, 1.0], [0.0, 0.1, 0.15, 0.25, 0.35, 0.45, 0.55, 0.7, 0.85, 1.0], missing)
Connate saturation = 0.0
Critical saturation = 0.0
Maximum rel. perm = 1.0 at 1.0Feed SWOF table to simulation
krdef = ReservoirRelativePermeabilities(w = krw, ow = krow)
model, prm = setup_model_with_relperm(krdef)
lines(simulate_bl(model, prm), axis = (title = "SWOF simulation",))
Parametric relative permeabilities
So far, we have been using tabulated relative permeabilities. JutulDarcy is not limited to only working with tables and we can demonstrate this by making use of parametric relative permeabilities instead.
Parametric functions expose parameters such as L, E, T, and residual saturations on a cell-by-cell basis and evaluates the relative permeabilities during simulation with the same functions we used to generate tables in the preceeding section.
Using parametric functions has a few advantages:
The relative permeability functions are analytical, which can be more favorable for numerical convergence when compared to standard tables.
Exposing the parameters through Jutul's parameter system makes it possible to perform gradient-based history matching.
The parameters can vary from cell to cell, which can be useful for reduced-order modelling where the link between relative permeabilities and rock types is disregarded.
kr_let = JutulDarcy.ParametricLETRelativePermeabilities()
model, prm = setup_model_with_relperm(kr_let)
lines(simulate_bl(model, prm), axis = (title = "Parametric LET function simulation",))
Check out the parameters
The LET parameters are now numerical parameters in the reservoir:
rmodel = reservoir_model(model)SimulationModel:
Model with 2000 degrees of freedom, 2000 equations and 14998 parameters
domain:
DiscretizedDomain with MinimalTPFATopology (1000 cells, 999 faces) and discretizations for mass_flow, heat_flow
system:
ImmiscibleSystem with LiquidPhase, VaporPhase
context:
ParallelCSRContext(BlockMajorLayout(false), 1000, 1, MetisPartitioner(:KWAY))
formulation:
FullyImplicitFormulation()
data_domain:
DataDomain wrapping CartesianMesh (1D) with 1000x1x1=1000 cells with 19 data fields added:
1000 Cells
:permeability => 1000 Vector{Float64}
:porosity => 1000 Vector{Float64}
:rock_thermal_conductivity => 1000 Vector{Float64}
:fluid_thermal_conductivity => 1000 Vector{Float64}
:rock_heat_capacity => 1000 Vector{Float64}
:component_heat_capacity => 1000 Vector{Float64}
:rock_density => 1000 Vector{Float64}
:cell_centroids => 1×1000 Matrix{Float64}
:volumes => 1000 Vector{Float64}
999 Faces
:neighbors => 2×999 Matrix{Int64}
:areas => 999 Vector{Float64}
:normals => 1×999 Matrix{Float64}
:face_centroids => 1×999 Matrix{Float64}
1998 HalfFaces
:half_face_cells => 1998 Vector{Int64}
:half_face_faces => 1998 Vector{Int64}
2 BoundaryFaces
:boundary_areas => 2 Vector{Float64}
:boundary_centroids => 1×2 Matrix{Float64}
:boundary_normals => 1×2 Matrix{Float64}
:boundary_neighbors => 2 Vector{Int64}
primary_variables:
1) Pressure ∈ 1000 Cells: 1 dof each
2) Saturations ∈ 1000 Cells: 1 dof, 2 values each
secondary_variables:
1) PhaseMassDensities ∈ 1000 Cells: 2 values each
-> ConstantCompressibilityDensities as evaluator
2) TotalMasses ∈ 1000 Cells: 2 values each
-> TotalMasses as evaluator
3) RelativePermeabilities ∈ 1000 Cells: 2 values each
-> JutulDarcy.ParametricLETRelativePermeabilities as evaluator
4) PhaseMobilities ∈ 1000 Cells: 2 values each
-> JutulDarcy.PhaseMobilities as evaluator
5) PhaseMassMobilities ∈ 1000 Cells: 2 values each
-> JutulDarcy.PhaseMassMobilities as evaluator
parameters:
1) Transmissibilities ∈ 999 Faces: Scalar
2) TwoPointGravityDifference ∈ 999 Faces: Scalar
3) PhaseViscosities ∈ 1000 Cells: 2 values each
4) FluidVolume ∈ 1000 Cells: Scalar
5) WettingLET ∈ 1000 Cells: 3 values each
6) WettingCritical ∈ 1000 Cells: Scalar
7) WettingKrMax ∈ 1000 Cells: Scalar
8) NonWettingLET ∈ 1000 Cells: 3 values each
9) NonWettingCritical ∈ 1000 Cells: Scalar
10) NonWettingKrMax ∈ 1000 Cells: Scalar
equations:
1) mass_conservation ∈ 1000 Cells: 2 values each
-> ConservationLaw{:TotalMasses, TwoPointPotentialFlowHardCoded{Vector{Int64}, Vector{@NamedTuple{self::Int64, other::Int64, face::Int64, face_sign::Int64}}}, Jutul.DefaultFlux, 2}
output_variables:
Pressure, Saturations, TotalMasses
extra:
OrderedDict{Symbol, Any} with keys: Symbol[]
optimization_level:
1Conclusion
We have explored a few aspects of relative permeabilities in JutulDarcy. There are a number of advanced topics that we did not cover, such as the use of end-point scaling in the more conventional reservoir simulation sense or the use of hysteresis. We still hope that this example has given you a good starting point for working with relative permeabilities in JutulDarcy.
Example on GitHub
If you would like to run this example yourself, it can be downloaded from the JutulDarcy.jl GitHub repository as a script, or as a Jupyter Notebook
This example took 161.451901707 seconds to complete.This page was generated using Literate.jl.