SPE10, model 2
Introduction InputFileThe SPE10 benchmark case is a standard benchmark case for reservoir simulators. The model is described in detail in the SPE10 benchmark page
This example demonstrates routines to set up the SPE10, model 2, case using premade functions in the JutulDarcy.SPE10 module. This model is often just called SPE10, since the first model of the benchmark is very small.
Set up the reservoir
We can set up the reservoir itself to have a look at the static properties.
using JutulDarcy, GLMakie, HYPRE
reservoir = JutulDarcy.SPE10.setup_reservoir()
plot_reservoir(reservoir, key = :porosity)
Set up and run a simulation for the first layer
We can set up and run a full simulation for the first layer of the model. As we want the example to run quickly, we just pick the top layer. The function is set up to scale the default well rates to the smaller model, so you can adjust the number of layers without changing anything else.
case = JutulDarcy.SPE10.setup_case(layers = 1:1)Jutul case with 100 time-steps (5 years, 24 weeks, 5.787 days) and constant forces for all steps.
Model:
MultiModel with 7 models and 20 cross-terms. 26238 equations, 26238 degrees of freedom and 77841 parameters.
models:
1) Reservoir (26208x26208)
ImmiscibleSystem with AqueousPhase, LiquidPhase
∈ MinimalTPFATopology (13104 cells, 25809 faces)
2) I1 (2x2)
ImmiscibleSystem with AqueousPhase, LiquidPhase
∈ SimpleWell [I1] (1 nodes, 0 segments, 1 perforations)
3) P1 (2x2)
ImmiscibleSystem with AqueousPhase, LiquidPhase
∈ SimpleWell [P1] (1 nodes, 0 segments, 1 perforations)
4) P2 (2x2)
ImmiscibleSystem with AqueousPhase, LiquidPhase
∈ SimpleWell [P2] (1 nodes, 0 segments, 1 perforations)
5) P3 (2x2)
ImmiscibleSystem with AqueousPhase, LiquidPhase
∈ SimpleWell [P3] (1 nodes, 0 segments, 1 perforations)
6) P4 (2x2)
ImmiscibleSystem with AqueousPhase, LiquidPhase
∈ SimpleWell [P4] (1 nodes, 0 segments, 1 perforations)
7) Facility (20x20)
JutulDarcy.FacilitySystem{ImmiscibleSystem{Tuple{AqueousPhase, LiquidPhase}, Tuple{Float64, Float64}}}(ImmiscibleSystem with AqueousPhase, LiquidPhase)
∈ WellGroup([:I1, :P1, :P2, :P3, :P4], true, true)
cross_terms:
1) I1 <-> Reservoir (Eqs: mass_conservation <-> mass_conservation)
JutulDarcy.ReservoirFromWellFlowCT
2) P1 <-> Reservoir (Eqs: mass_conservation <-> mass_conservation)
JutulDarcy.ReservoirFromWellFlowCT
3) P2 <-> Reservoir (Eqs: mass_conservation <-> mass_conservation)
JutulDarcy.ReservoirFromWellFlowCT
4) P3 <-> Reservoir (Eqs: mass_conservation <-> mass_conservation)
JutulDarcy.ReservoirFromWellFlowCT
5) P4 <-> Reservoir (Eqs: mass_conservation <-> mass_conservation)
JutulDarcy.ReservoirFromWellFlowCT
6) Facility -> I1 (Eq: mass_conservation)
JutulDarcy.WellFromFacilityFlowCT
7) I1 -> Facility (Eq: bottom_hole_pressure_equation)
JutulDarcy.FacilityFromWellBottomHolePressureCT
8) I1 -> Facility (Eq: surface_phase_rates_equation)
JutulDarcy.FacilityFromSurfacePhaseRatesCT
9) Facility -> P1 (Eq: mass_conservation)
JutulDarcy.WellFromFacilityFlowCT
10) P1 -> Facility (Eq: bottom_hole_pressure_equation)
JutulDarcy.FacilityFromWellBottomHolePressureCT
11) P1 -> Facility (Eq: surface_phase_rates_equation)
JutulDarcy.FacilityFromSurfacePhaseRatesCT
12) Facility -> P2 (Eq: mass_conservation)
JutulDarcy.WellFromFacilityFlowCT
13) P2 -> Facility (Eq: bottom_hole_pressure_equation)
JutulDarcy.FacilityFromWellBottomHolePressureCT
14) P2 -> Facility (Eq: surface_phase_rates_equation)
JutulDarcy.FacilityFromSurfacePhaseRatesCT
15) Facility -> P3 (Eq: mass_conservation)
JutulDarcy.WellFromFacilityFlowCT
16) P3 -> Facility (Eq: bottom_hole_pressure_equation)
JutulDarcy.FacilityFromWellBottomHolePressureCT
17) P3 -> Facility (Eq: surface_phase_rates_equation)
JutulDarcy.FacilityFromSurfacePhaseRatesCT
18) Facility -> P4 (Eq: mass_conservation)
JutulDarcy.WellFromFacilityFlowCT
19) P4 -> Facility (Eq: bottom_hole_pressure_equation)
JutulDarcy.FacilityFromWellBottomHolePressureCT
20) P4 -> Facility (Eq: surface_phase_rates_equation)
JutulDarcy.FacilityFromSurfacePhaseRatesCT
Model storage will be optimized for runtime performance.Plot the porosity
Note that some cells are removed due to very low porosity. The setup function has additional options to control this behavior if you would rather limit the minimum porosity than removing cells.
plot_reservoir(case.model, key = :porosity)
Run the simulation
ws, states = simulate_reservoir(case)ReservoirSimResult with 100 entries:
wells (5 present):
:P1
:P3
:P4
:I1
:P2
Results per well:
:wrat => Vector{Float64} of size (100,)
:Aqueous_mass_rate => Vector{Float64} of size (100,)
:orat => Vector{Float64} of size (100,)
:bhp => Vector{Float64} of size (100,)
:mrat => Vector{Float64} of size (100,)
:lrat => Vector{Float64} of size (100,)
:mass_rate => Vector{Float64} of size (100,)
:rate => Vector{Float64} of size (100,)
:control => Vector{Symbol} of size (100,)
:Liquid_mass_rate => Vector{Float64} of size (100,)
:wcut => Vector{Float64} of size (100,)
states (Vector with 100 entries, reservoir variables for each state)
:Pressure => Vector{Float64} of size (13104,)
:Saturations => Matrix{Float64} of size (2, 13104)
:TotalMasses => Matrix{Float64} of size (2, 13104)
time (report time for each state)
Vector{Float64} of length 100
result (extended states, reports)
SimResult with 100 entries
extra
Dict{Any, Any} with keys :simulator, :config
Completed at Feb. 04 2026 10:02 after 14 seconds, 461 milliseconds, 823.4 microseconds.Plot the final saturation
plot_reservoir(case.model, states, key = :Saturations, step = length(states))
Show the last layer
The first 35 layers correspond to the Tarbert formation and the latter 50 layers are the upper ness formation. We plot one of the last layers, showing a channelized, fluvial structure.
reservoir_ness = JutulDarcy.SPE10.setup_reservoir(layers = 60)
plot_reservoir(reservoir_ness, key = :porosity)
Coarsen the model
The full model is quite large, with 1.1 million cells. We can coarsen the model to get a smaller model that is faster to simulate. The original model was intended as a benchmark for upscaling methods, even though such models are now quite easy to simulate when using parallel computing on CPU/GPU.
The default coarsening is quite simple (harmonic averages and sums), but quickly sets up a coarse model that can be used for testing, or as a starting point for a more refined coarsening.
case_fine = JutulDarcy.SPE10.setup_case()
case_coarse = coarsen_reservoir_case(case_fine, (10, 22, 40))Jutul case with 100 time-steps (5 years, 24 weeks, 5.787 days) and constant forces for all steps.
Model:
MultiModel with 7 models and 20 cross-terms. 18598 equations, 18598 degrees of freedom and 72217 parameters.
models:
1) Reservoir (18568x18568)
ImmiscibleSystem with AqueousPhase, LiquidPhase
∈ MinimalTPFATopology (9284 cells, 26624 faces)
2) I1 (2x2)
ImmiscibleSystem with AqueousPhase, LiquidPhase
∈ SimpleWell [I1] (1 nodes, 0 segments, 40 perforations)
3) P1 (2x2)
ImmiscibleSystem with AqueousPhase, LiquidPhase
∈ SimpleWell [P1] (1 nodes, 0 segments, 39 perforations)
4) P2 (2x2)
ImmiscibleSystem with AqueousPhase, LiquidPhase
∈ SimpleWell [P2] (1 nodes, 0 segments, 39 perforations)
5) P3 (2x2)
ImmiscibleSystem with AqueousPhase, LiquidPhase
∈ SimpleWell [P3] (1 nodes, 0 segments, 40 perforations)
6) P4 (2x2)
ImmiscibleSystem with AqueousPhase, LiquidPhase
∈ SimpleWell [P4] (1 nodes, 0 segments, 40 perforations)
7) Facility (20x20)
JutulDarcy.FacilitySystem{ImmiscibleSystem{Tuple{AqueousPhase, LiquidPhase}, Tuple{Float64, Float64}}}(ImmiscibleSystem with AqueousPhase, LiquidPhase)
∈ WellGroup([:I1, :P1, :P2, :P3, :P4], true, true)
cross_terms:
1) I1 <-> Reservoir (Eqs: mass_conservation <-> mass_conservation)
JutulDarcy.ReservoirFromWellFlowCT
2) P1 <-> Reservoir (Eqs: mass_conservation <-> mass_conservation)
JutulDarcy.ReservoirFromWellFlowCT
3) P2 <-> Reservoir (Eqs: mass_conservation <-> mass_conservation)
JutulDarcy.ReservoirFromWellFlowCT
4) P3 <-> Reservoir (Eqs: mass_conservation <-> mass_conservation)
JutulDarcy.ReservoirFromWellFlowCT
5) P4 <-> Reservoir (Eqs: mass_conservation <-> mass_conservation)
JutulDarcy.ReservoirFromWellFlowCT
6) Facility -> I1 (Eq: mass_conservation)
JutulDarcy.WellFromFacilityFlowCT
7) I1 -> Facility (Eq: bottom_hole_pressure_equation)
JutulDarcy.FacilityFromWellBottomHolePressureCT
8) I1 -> Facility (Eq: surface_phase_rates_equation)
JutulDarcy.FacilityFromSurfacePhaseRatesCT
9) Facility -> P1 (Eq: mass_conservation)
JutulDarcy.WellFromFacilityFlowCT
10) P1 -> Facility (Eq: bottom_hole_pressure_equation)
JutulDarcy.FacilityFromWellBottomHolePressureCT
11) P1 -> Facility (Eq: surface_phase_rates_equation)
JutulDarcy.FacilityFromSurfacePhaseRatesCT
12) Facility -> P2 (Eq: mass_conservation)
JutulDarcy.WellFromFacilityFlowCT
13) P2 -> Facility (Eq: bottom_hole_pressure_equation)
JutulDarcy.FacilityFromWellBottomHolePressureCT
14) P2 -> Facility (Eq: surface_phase_rates_equation)
JutulDarcy.FacilityFromSurfacePhaseRatesCT
15) Facility -> P3 (Eq: mass_conservation)
JutulDarcy.WellFromFacilityFlowCT
16) P3 -> Facility (Eq: bottom_hole_pressure_equation)
JutulDarcy.FacilityFromWellBottomHolePressureCT
17) P3 -> Facility (Eq: surface_phase_rates_equation)
JutulDarcy.FacilityFromSurfacePhaseRatesCT
18) Facility -> P4 (Eq: mass_conservation)
JutulDarcy.WellFromFacilityFlowCT
19) P4 -> Facility (Eq: bottom_hole_pressure_equation)
JutulDarcy.FacilityFromWellBottomHolePressureCT
20) P4 -> Facility (Eq: surface_phase_rates_equation)
JutulDarcy.FacilityFromSurfacePhaseRatesCT
Model storage will be optimized for runtime performance.Simulate the coarse model
The now quite coarse model should run a few seconds.
ws_coarse, states_coarse = simulate_reservoir(case_coarse);
plot_reservoir(case_coarse.model, states_coarse, key = :Saturations, step = length(states_coarse))
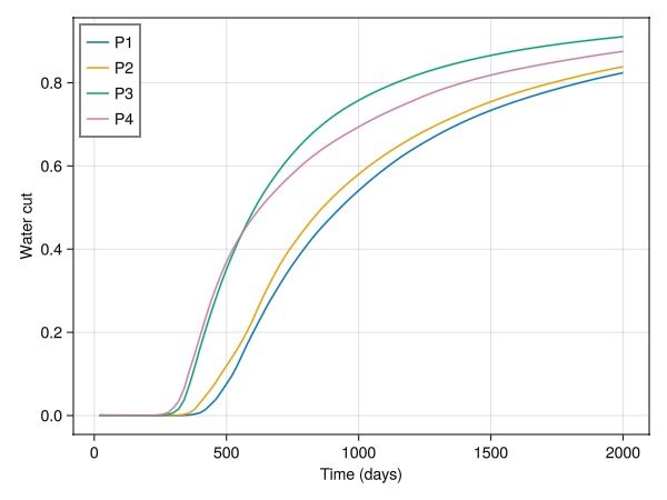
Plot the water cut
using Jutul
t = ws_coarse.time./si_unit(:day)
fig = Figure()
ax = Axis(fig[1, 1]; xlabel = "Time (days)", ylabel = "Water cut")
for w in [:P1, :P2, :P3, :P4]
wc = ws_coarse[w, :wcut]
lines!(ax, t, wc; label = "$w")
end
axislegend(position = :lt)
fig
Conclusion
The SPE10, model 2, case is a standard benchmark case for reservoir simulators. JutulDarcy includes premade functions to set up and run this model, including wells, PVT, and the schedule from the original case. The model can be run as-is, or coarsened to a smaller size for testing and development.
Example on GitHub
If you would like to run this example yourself, it can be downloaded from the JutulDarcy.jl GitHub repository as a script, or as a Jupyter Notebook
This example took 225.36372663 seconds to complete.This page was generated using Literate.jl.