The OLYMPUS benchmark model: Two-phase corner-point reservoir
Immiscible Validation InputFileModel from the ISAPP Optimization challenge
Two-phase complex corner-point model with primary and secondary production.
For more details, see [13]
julia
using Jutul, JutulDarcy, GLMakie, DelimitedFiles, HYPRE
olympus_dir = JutulDarcy.GeoEnergyIO.test_input_file_path("OLYMPUS_1")
case = setup_case_from_data_file(joinpath(olympus_dir, "OLYMPUS_1.DATA"), backend = :csr)
ws, states = simulate_reservoir(case, output_substates = true)ReservoirSimResult with 81 entries:
wells (18 present):
:INJ-3
:INJ-7
:PROD-4
:INJ-5
:INJ-4
:PROD-9
:INJ-2
:PROD-6
:PROD-3
:PROD-1
:PROD-10
:PROD-2
:PROD-7
:PROD-5
:PROD-8
:INJ-6
:PROD-11
:INJ-1
Results per well:
:wrat => Vector{Float64} of size (81,)
:Aqueous_mass_rate => Vector{Float64} of size (81,)
:orat => Vector{Float64} of size (81,)
:bhp => Vector{Float64} of size (81,)
:mrat => Vector{Float64} of size (81,)
:lrat => Vector{Float64} of size (81,)
:mass_rate => Vector{Float64} of size (81,)
:rate => Vector{Float64} of size (81,)
:control => Vector{Symbol} of size (81,)
:Liquid_mass_rate => Vector{Float64} of size (81,)
:wcut => Vector{Float64} of size (81,)
states (Vector with 81 entries, reservoir variables for each state)
:Pressure => Vector{Float64} of size (192750,)
:Saturations => Matrix{Float64} of size (2, 192750)
:TotalMasses => Matrix{Float64} of size (2, 192750)
time (report time for each state)
Vector{Float64} of length 81
result (extended states, reports)
SimResult with 20 entries
extra
Dict{Any, Any} with keys :simulator, :config
Completed at Mar. 18 2026 16:14 after 5 minutes, 5 seconds, 820.1 milliseconds.Plot the reservoir
julia
plot_reservoir(case.model, key = :porosity)
Plot the saturations
julia
plot_reservoir(case.model, states, step = 10, key = :Saturations)
Load reference and set up plotting
julia
csv_path = joinpath(olympus_dir, "REFERENCE.CSV")
data, header = readdlm(csv_path, ',', header = true)
time_ref = data[:, 1]
time_jutul = deepcopy(ws.time)
wells = deepcopy(ws.wells)
wnames = collect(keys(wells))
nw = length(wnames)
day = si_unit(:day)
cmap = :tableau_hue_circle
inj = Symbol[]
prod = Symbol[]
for (wellname, well) in pairs(wells)
qts = well[:wrat] + well[:orat]
if sum(qts) > 0
push!(inj, wellname)
else
push!(prod, wellname)
end
end
function plot_well_comparison(response, well_names, reponse_name = "$response"; ylims = missing)
fig = Figure(size = (1000, 400))
if response == :bhp
ys = 1/si_unit(:bar)
yl = "Bottom hole pressure / Bar"
elseif response == :wrat
ys = si_unit(:day)
yl = "Surface water rate / m³/day"
elseif response == :orat
ys = si_unit(:day)/(1000*si_unit(:stb))
yl = "Surface oil rate / 10³ stb/day"
else
error("$response not ready.")
end
welltypes = []
ax = Axis(fig[1:4, 1], xlabel = "Time / days", ylabel = yl)
i = 1
linehandles = []
linelabels = []
for well_name in well_names
well = wells[well_name]
label_in_csv = "$well_name:$response"
ref_pos = findfirst(x -> x == label_in_csv, vec(header))
qoi = copy(well[response]).*ys
qoi_ref = data[:, ref_pos].*ys
tot_rate = copy(well[:rate])
@. qoi[tot_rate == 0] = NaN
orat_ref = data[:, findfirst(x -> x == "$well_name:orat", vec(header))]
wrat_ref = data[:, findfirst(x -> x == "$well_name:wrat", vec(header))]
tot_rate_ref = orat_ref + wrat_ref
@. qoi_ref[tot_rate_ref == 0] = NaN
crange = (1, max(length(well_names), 2))
lh = lines!(ax, time_jutul./day, abs.(qoi),
color = i,
colorrange = crange,
label = "$well_name", colormap = cmap
)
push!(linehandles, lh)
push!(linelabels, "$well_name")
lines!(ax, time_ref./day, abs.(qoi_ref),
color = i,
colorrange = crange,
linestyle = :dash,
colormap = cmap
)
i += 1
if !ismissing(ylims)
ylims!(ax, ylims)
end
end
l1 = LineElement(color = :black, linestyle = nothing)
l2 = LineElement(color = :black, linestyle = :dash)
Legend(fig[1:3, 2], linehandles, linelabels, nbanks = 3)
Legend(fig[4, 2], [l1, l2], ["JutulDarcy.jl", "OPM Flow"])
fig
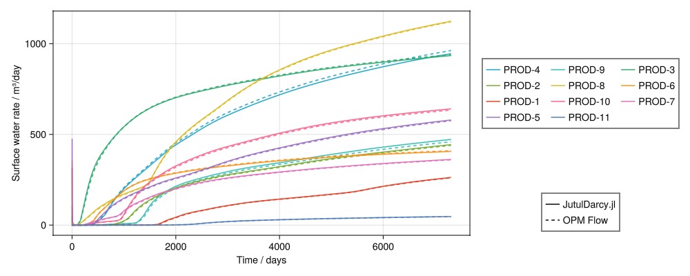
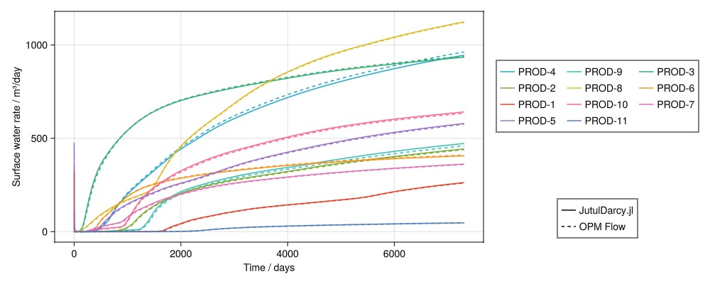
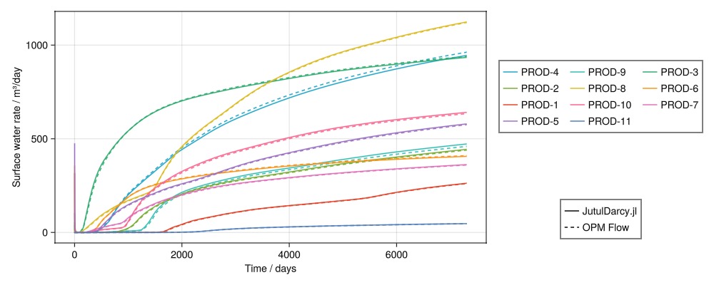
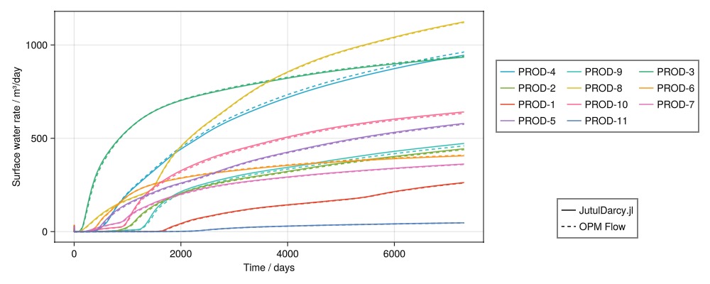
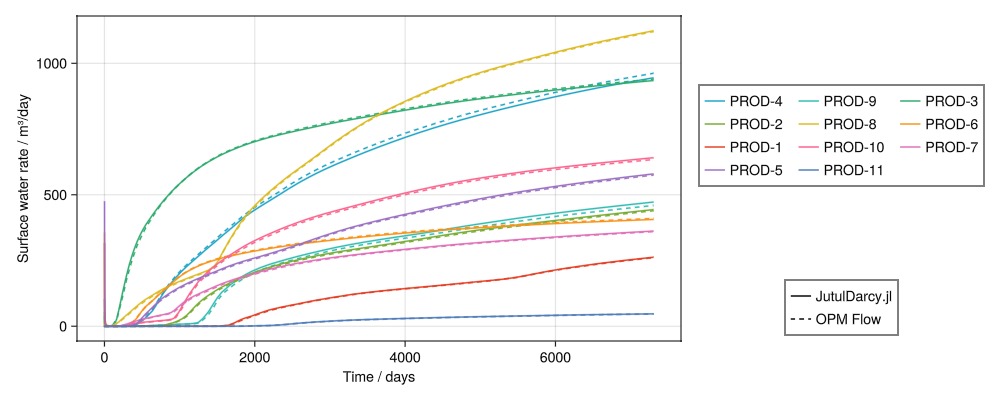
endplot_well_comparison (generic function with 2 methods)Plot water production rates
julia
plot_well_comparison(:wrat, prod, "Water surface production rate")
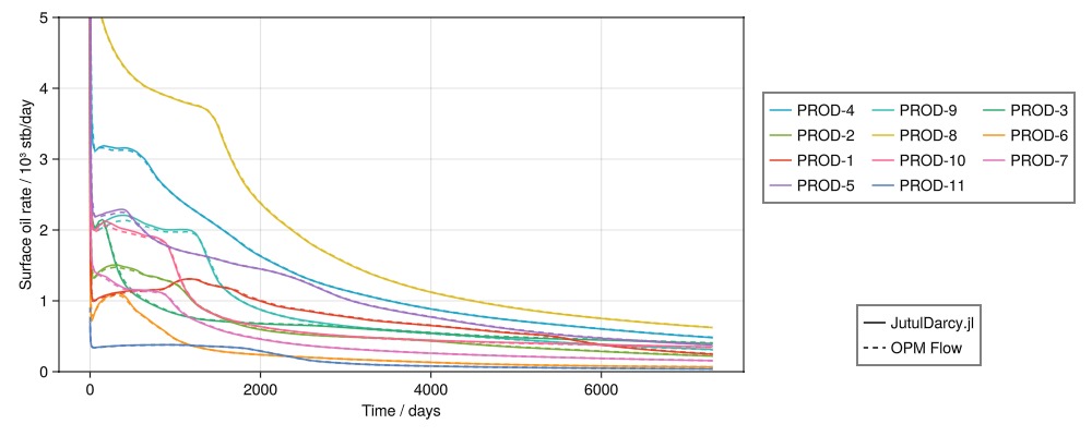
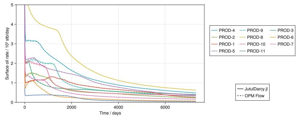
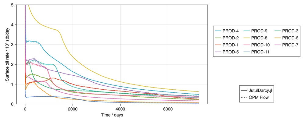
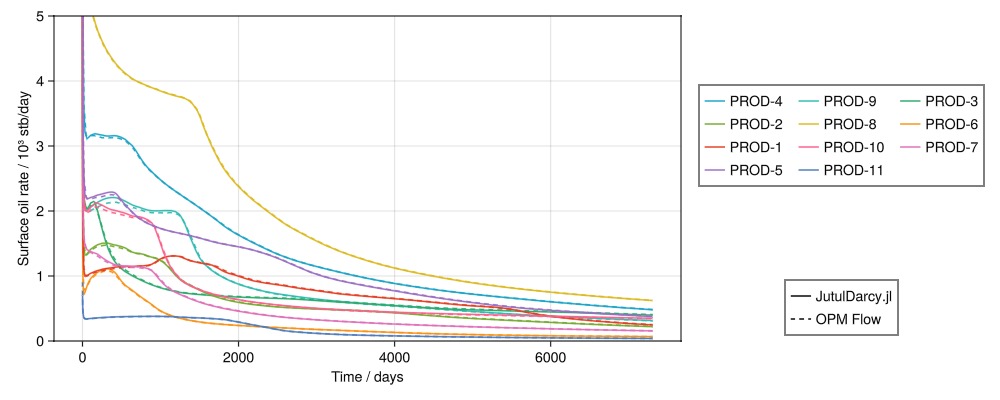
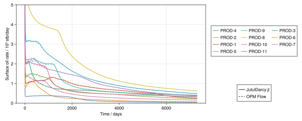
Plot oil production rates
julia
plot_well_comparison(:orat, prod, "Oil surface production rate", ylims = (0, 5))
Plot water injection rates
julia
plot_well_comparison(:wrat, inj, "Water injection rate")
Example on GitHub
If you would like to run this example yourself, it can be downloaded from the JutulDarcy.jl GitHub repository as a script, or as a Jupyter Notebook
This example took 347.434619345 seconds to complete.This page was generated using Literate.jl.