Heat equation in 1D
This example demonstrates the classical solution of the heat equation in 1D and compares the analytical solution to the numerical solution obtained using JutulDarcy to verify the accuracy and convergence properties of the numerical scheme.
Add required modules and define convenience functions for unit conversion
using Jutul, JutulDarcy, Fimbul
using LinearAlgebra
using HYPRE
using GLMakie
to_kelvin = T -> convert_to_si(T, :Celsius)
to_celsius = T -> convert_from_si(T, :Celsius)#5 (generic function with 1 method)The 1D heat equation
We consider a piece of solid rock with length
where
where the Fourier coefficients
Simple initial conditions
We first consider a simple initial condition where the initial temperature profile takes the form of a sine curve,
L = 100.0
T_b = to_kelvin(10.0)
T_0 = x -> to_kelvin(90.0) .* sin(π * x / L) .+ T_b;
case, sol, x, t = analytical_1d(
L=L, temperature_boundary=T_b, initial_condition=T_0,
num_cells=100, num_steps=100);
results = simulate_reservoir(case, info_level=0)ReservoirSimResult with 100 entries:
wells (0 present):
states (Vector with 100 entries, reservoir variables for each state)
:Pressure => Vector{Float64} of size (100,)
:TotalMasses => Matrix{Float64} of size (1, 100)
:TotalThermalEnergy => Vector{Float64} of size (100,)
:FluidEnthalpy => Matrix{Float64} of size (1, 100)
:Temperature => Vector{Float64} of size (100,)
time (report time for each state)
Vector{Float64} of length 100
result (extended states, reports)
SimResult with 100 entries
extra
Dict{Any, Any} with keys :simulator, :config
Completed at Apr. 01 2026 18:52 after 8 seconds, 803 milliseconds, 232.4 microseconds.Visualize temperature evolution
We set up a visualization function that plots both numerical and analytical temperature profiles at selected timesteps. This allows us to visually assess the agreement between the two solutions as thermal diffusion progresses.
function plot_temperature_1d(case, sol_n, sol_a, x_n, t_n, n)
fig = Figure(size=(800, 600), fontsize=20)
ax = Axis(fig[1, 1]; xlabel="Distance (m)", ylabel="Temperature (°C)")
x_a = range(0, 100, length=500)
N = length(t_n)
α = (N^(1 / (n - 1)) - 1)
timesteps = Int.(round.((1 + α) .^ (1:n-1)))
pushfirst!(timesteps, 0) # Add initial time
colors = cgrad(:Spectral, n, categorical=true)
for (i, k) = enumerate(timesteps)
if k == 0
T_n = to_celsius.(case.state0[:Reservoir][:Temperature])
lines!(ax, x_n, T_n, linestyle=(:dash, 1), linewidth=6,
color=colors[i], label="Analytical")
lines!(ax, x_n, T_n, linewidth=2, color=colors[i], label="Numerical")
else
T_a = to_celsius.(sol_a(x_a, t_n[k]))
T_n = to_celsius.(sol_n.states[k][:Temperature])
lines!(ax, x_a, T_a, linestyle=(:dash, 1), linewidth=6,
color=colors[i])
lines!(ax, x_n, T_n, linewidth=2, color=colors[i])
end
end
Legend(fig[1, 2], ax)
fig
end
plot_temperature_1d(case, results, sol, x, t, 10)
Piecewise constant initial conditions
We now consider a more challenging initial condition where the initial temperature profile is piecewise constant, with four different constant values.
T_0 = x ->
to_kelvin(100.0) .* (x < 25) +
to_kelvin(20.0) .* (25 <= x < 50) +
to_kelvin(50.0) .* (50 <= x < 75) +
to_kelvin(75.0) .* (75 <= x);We can still compute the analytical solution using the formula above, but the sum will now be an infinite series. The function analytical_1d handles this pragmatically by truncating the series when the contribution of the next term is less than a 1e-6.
case, sol, x, t = analytical_1d(
L=L, temperature_boundary=T_b, initial_condition=T_0,
num_cells=500, num_steps=500);
results = simulate_reservoir(case, info_level=0)
plot_temperature_1d(case, results, sol, x, t, 10)
Numerical convergence analysis
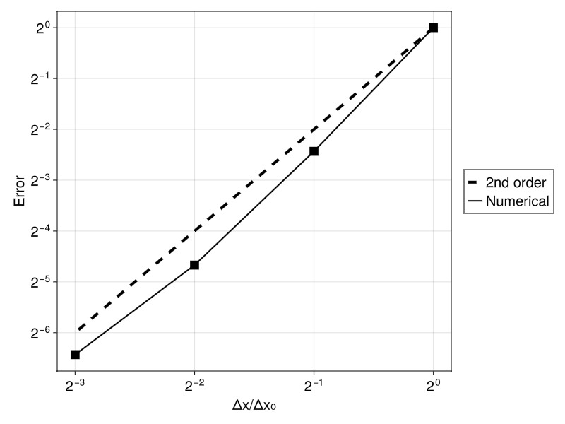
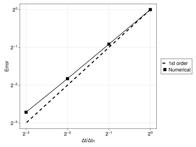
We perform a comprehensive convergence study by systematically refining the spatial and temporal discretization. The default two-point flux approximation (TPFA) scheme used in JutulDarcy reduces to a central finite difference scheme for the heat equation, which is second-order accurate in space, whereas the implicit Backward Euler time integration is first-order accurate in time.
We use the same initial conditions as in the first example above
T_0 = x -> to_kelvin(90.0) .* sin(π * x / L) .+ T_b;
setup_case = (nx, nt) -> analytical_1d(
L=L, temperature_boundary=T_b, initial_condition=T_0,
num_cells=nx, num_steps=nt);
function convergence_1d(setup_fn, type=:space; Nx=2 .^ (range(3, 6)), Nt=2 .^ (range(3, 6)))
if type == :space
Nt = 10000
elseif type == :time
Nx = 10000
else
@assert type == :spacetime
"Input type must be either :space, :time, or :spacetime"
end
Δx, Δt, err = [], [], []
for nx in Nx
dx = L / nx
push!(Δx, dx)
for nt in Nt
out = setup_fn(nx, nt)
case, sol, x, t = out
dt = t[2] - t[1]
push!(Δt, dt)
sim, cfg = setup_reservoir_simulator(case;
relaxation=true,
tol_cnv=1e-8,
info_level=0,
max_timestep=Inf,
timesteps=:none
)
cfg[:tolerances][:Reservoir][:default] = 1e-8
results = simulate_reservoir(case, simulator=sim, config=cfg)
ϵ = 0.0
for k = 1:nt
T_n = results.states[k][:Temperature]
T_a = sol(x, t[k])
ϵ += dt .* norm(dx .* (T_n .- T_a), 2)
end
push!(err, ϵ)
end
end
err ./= err[1]
return Δx, Δt, err
endconvergence_1d (generic function with 2 methods)Spatial convergence analysis
We examine spatial convergence by systematically increasing the number of grid cells while using a very fine temporal discretization (10,000 timesteps) to eliminate temporal error contributions. The L2 norm of the error is computed over the entire space-time domain. We expect to observe second-order convergence as predicted by finite difference theory.
Δx, _, err_space = convergence_1d(setup_case, :space)
Δx ./= Δx[1]
opt = Δx .^ 2
fig = Figure(size=(800, 600), fontsize=20)
ax = Axis(fig[1, 1]; xlabel="Δx/Δx₀", ylabel="Error", xscale=log2, yscale=log2)
lines!(ax, Δx, opt, linewidth=4, color=:black, linestyle=:dash, label="2nd order")
scatter!(ax, Δx, err_space, marker=:rect, markersize=20, color=:black)
lines!(ax, Δx, err_space, linewidth=2, color=:black, label="Numerical")
Legend(fig[1, 2], ax)
fig
Temporal convergence analysis
We now study temporal convergence by using a very fine spatial discretization (10,000 cells) to eliminate spatial error contributions while systematically reducing the timestep size. We expect to observe first-order convergence characteristic of the implicit Backward Euler time integration scheme.
_, Δt, err_time = convergence_1d(setup_case, :time)
Δt ./= Δt[1]
opt = copy(Δt)
fig = Figure(size=(800, 600), fontsize=20)
ax = Axis(fig[1, 1]; xlabel="Δt/Δt₀", ylabel="Error", xscale=log2, yscale=log2)
lines!(ax, Δt, opt, linewidth=4, color=:black, linestyle=:dash, label="1st order")
scatter!(ax, Δt, err_time, marker=:rect, markersize=20, color=:black, label="Numerical")
lines!(ax, Δt, err_time, linewidth=2, color=:black)
Legend(fig[1, 2], ax)
fig
Example on GitHub
If you would like to run this example yourself, it can be downloaded from the Fimbul.jl GitHub repository as a script.
This example took 99.194188615 seconds to complete.This page was generated using Literate.jl.