Validation of Jutul against existing reservoir simulators
This example contains validation of Jutul against MRST. In general, minor differences are observed. These can be traced back to a combination of different internal timestepping done by the simulators and that JutulDarcy by default uses a multisegment well formulation while MRST uses a standard instantaneous equilibrium model without well bore storage terms. These differences are most evident when simulators start up.
These cases have been exported using the MRST jutul module which can export MRST or Eclipse-type of cases to a JutulDarcy-compatible input format. They can then be simulated using simulate_mrst_case.
using JutulDarcy, Jutul
using GLMakieDefine a few utilities for plotting the MRST results
We are going to compare well responses against pre-computed results stored inside the JutulDarcy module.
function mrst_case_path(name)
base_path, = splitdir(pathof(JutulDarcy))
joinpath(base_path, "..", "test", "mrst", "$(name).mat")
end
function mrst_solution(result)
return result.extra[:mrst]["extra"][1]["mrst_solution"]
end
function mrst_well_index(mrst_result, k)
return findfirst(isequal("$k"), vec(mrst_result["names"]))
end
function get_mrst_comparison(wdata, ref, wname, t = :bhp)
yscale = "m³/s"
if t == :bhp
tname = :bhp
mname = "bhp"
yscale = "Pa"
elseif t == :qos
tname = :orat
mname = "qOs"
elseif t == :qws
tname = :wrat
mname = "qWs"
elseif t == :qgs
tname = :grat
mname = "qGs"
else
error("Not supported: $t")
end
jutul = wdata[tname]
mrst = ref[mname][:, mrst_well_index(ref, wname)]
return (jutul, mrst, tname, yscale)
end
function plot_comparison(wsol, ref, rep_t, t, wells_keys = keys(wsol.wells))
fig = Figure()
ax = Axis(fig[1, 1], xlabel = "time (days)")
l = ""
yscale = ""
T = rep_t./(3600*24.0)
for (w, d) in wsol.wells
if !(w in wells_keys)
continue
end
jutul, mrst, l, yscale = get_mrst_comparison(d, ref, w, t)
lines!(ax, T, abs.(jutul), label = "$w")
scatter!(ax, T, abs.(mrst), markersize = 8)
end
axislegend()
ax.ylabel[] = "$l ($yscale)"
fig
endplot_comparison (generic function with 2 methods)The Egg model (oil-water compressible)
A two-phase model that is taken from the first member of the EGG ensemble. For more details, see the paper where the ensemble is introduced:
Simulate model
egg = simulate_mrst_case(mrst_case_path("egg"), info_level = -1)
wells = egg.wells
rep_t = egg.time
ref = mrst_solution(egg);[94;1mMRST model:[0m Reading input file /home/runner/work/JutulDarcy.jl/JutulDarcy.jl/src/../test/mrst/egg.mat.
[ Info: This is the first call to simulate_mrst_case. Compilation may take some time...
[94;1mMRST model:[0m Starting simulation of immiscible system with 18553 cells and 2 phases and 2 components.
[94;1mMRST model:[0m Model was successfully simulated.Compare well responses
injectors = [:INJECT1, :INJECT2, :INJECT3, :INJECT4, :INJECT5, :INJECT6, :INJECT7]
producers = [:PROD1, :PROD2, :PROD3, :PROD4]4-element Vector{Symbol}:
:PROD1
:PROD2
:PROD3
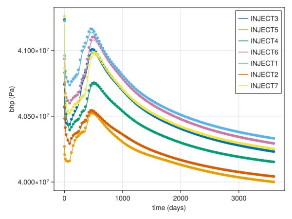
:PROD4Bottom hole pressures
plot_comparison(wells, ref, rep_t, :bhp, injectors)
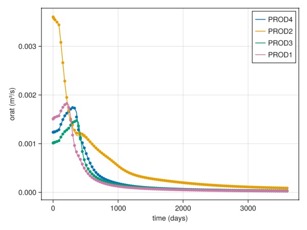
Oil rates
plot_comparison(wells, ref, rep_t, :qos, producers)
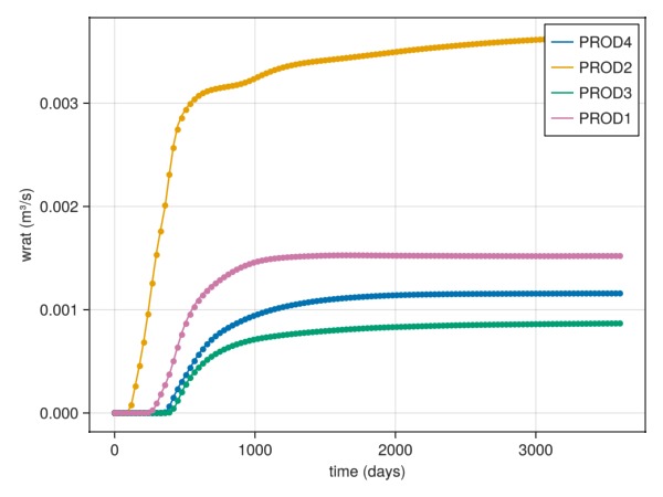
Water rates
plot_comparison(wells, ref, rep_t, :qws, producers)
SPE1 (black oil, disgas)
A shortened version of the SPE1 benchmark case.
For comparison against other simulators, see the equivialent JutulSPE1 example in the Jutul module for MRST
Simulate model
spe1 = simulate_mrst_case(mrst_case_path("spe1"), info_level = -1)
wells = spe1.wells
rep_t = spe1.time
ref = mrst_solution(spe1);[94;1mMRST model:[0m Reading input file /home/runner/work/JutulDarcy.jl/JutulDarcy.jl/src/../test/mrst/spe1.mat.
[ Info: This is the first call to simulate_mrst_case. Compilation may take some time...
[94;1mMRST model:[0m Starting simulation of black-oil system with 300 cells and 3 phases and 3 components.
[94;1mMRST model:[0m Model was successfully simulated.Compare well responses
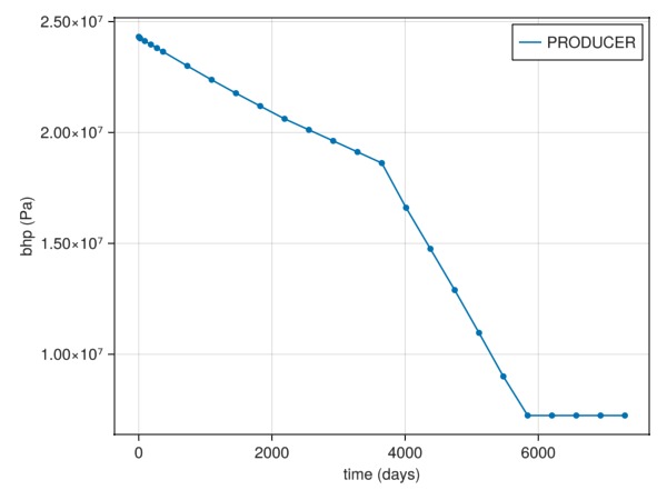
Bottom hole pressures
plot_comparison(wells, ref, rep_t, :bhp)
Gas rates
plot_comparison(wells, ref, rep_t, :qgs, [:PRODUCER])
SPE3 (black oil, vapoil)
A black-oil variant of the SPE3 benchmark case.
Simulate model
spe3 = simulate_mrst_case(mrst_case_path("spe3"), info_level = -1)
wells = spe3.wells
rep_t = spe3.time
ref = mrst_solution(spe3);[94;1mMRST model:[0m Reading input file /home/runner/work/JutulDarcy.jl/JutulDarcy.jl/src/../test/mrst/spe3.mat.
[ Info: This is the first call to simulate_mrst_case. Compilation may take some time...
[94;1mMRST model:[0m Starting simulation of black-oil system with 324 cells and 3 phases and 3 components.
[31;1mPRODUCER:[0m Approaching zero rate, disabling producer for current step
[31;1mPRODUCER:[0m Approaching zero rate, disabling producer for current step
[94;1mMRST model:[0m Model was successfully simulated.Compare well responses
Bottom hole pressures
plot_comparison(wells, ref, rep_t, :bhp, [:PRODUCER])
Gas rates
plot_comparison(wells, ref, rep_t, :qgs, [:PRODUCER])
Oil rates
plot_comparison(wells, ref, rep_t, :qos, [:PRODUCER])
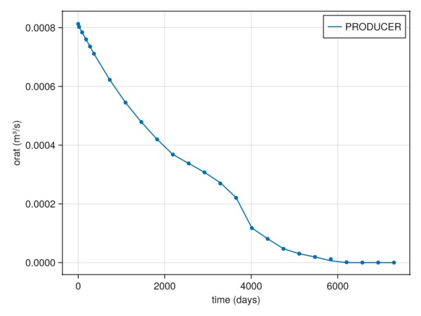
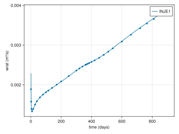
SPE9 (black oil, disgas)
Example of the SPE9 model exported from MRST running in JutulDarcy.
For comparison against other simulators, see the equivialent JutulSPE9 example in the Jutul module for MRST
Simulate model
spe9 = simulate_mrst_case(mrst_case_path("spe9"), info_level = -1)
wells = spe9.wells
rep_t = spe9.time
ref = mrst_solution(spe9);[94;1mMRST model:[0m Reading input file /home/runner/work/JutulDarcy.jl/JutulDarcy.jl/src/../test/mrst/spe9.mat.
[ Info: This is the first call to simulate_mrst_case. Compilation may take some time...
[94;1mPVT:[0m Fixing table for low pressure conditions.
[94;1mMRST model:[0m Starting simulation of black-oil system with 9000 cells and 3 phases and 3 components.
[94;1mMRST model:[0m Model was successfully simulated.Compare well responses
injectors = [:INJE1]
producers = [Symbol("PROD$i") for i in 1:25]25-element Vector{Symbol}:
:PROD1
:PROD2
:PROD3
:PROD4
:PROD5
:PROD6
:PROD7
:PROD8
:PROD9
:PROD10
⋮
:PROD17
:PROD18
:PROD19
:PROD20
:PROD21
:PROD22
:PROD23
:PROD24
:PROD25Injector water rate
plot_comparison(wells, ref, rep_t, :qws, injectors)
Oil rates
plot_comparison(wells, ref, rep_t, :qos, producers)
Water rates
plot_comparison(wells, ref, rep_t, :qws, producers)
Bottom hole pressures
plot_comparison(wells, ref, rep_t, :bhp, producers)
Example on GitHub
If you would like to run this example yourself, it can be downloaded from the JutulDarcy.jl GitHub repository as a script, or as a Jupyter Notebook
This page was generated using Literate.jl.