Quarter-five-spot example
The quarter-five-spot is a standard test problem that simulates 1/4 of the five spot well pattern by assuming axial symmetry. The problem contains an injector in one corner and the producer in the opposing corner, with a significant volume of fluids injected into the domain.
using JutulDarcy, Jutul
nx = 50;Setup
We define a function that, for a given porosity field, computes a solution with an estimated permeability field. For assumptions and derivation of the specific form of the Kozeny-Carman relation used in this example, see Lie, Knut-Andreas. An introduction to reservoir simulation using MATLAB/GNU Octave: User guide for the MATLAB Reservoir Simulation Toolbox (MRST). Cambridge University Press, 2019, Section 2.5.2
function perm_kozeny_carman(Φ)
return ((Φ^3)*(1e-5)^2)/(0.81*72*(1-Φ)^2);
end
function simulate_qfs(porosity = 0.2)
Dx = 1000.0
Dz = 10.0
Darcy = 9.869232667160130e-13
Darcy, bar, kg, meter, Kelvin, day, sec = si_units(:darcy, :bar, :kilogram, :meter, :Kelvin, :day, :second)
mesh = CartesianMesh((nx, nx, 1), (Dx, Dx, Dz))
K = perm_kozeny_carman.(porosity)
domain = reservoir_domain(mesh, permeability = K, porosity = porosity)
Inj = setup_vertical_well(domain, 1, 1, name = :Injector);
Prod = setup_vertical_well(domain, nx, nx, name = :Producer);
phases = (LiquidPhase(), VaporPhase())
rhoLS = 1000.0*kg/meter^3
rhoGS = 700.0*kg/meter^3
rhoS = [rhoLS, rhoGS]
sys = ImmiscibleSystem(phases, reference_densities = rhoS)
model, parameters = setup_reservoir_model(domain, sys, wells = [Inj, Prod])
c = [1e-6/bar, 1e-6/bar]
ρ = ConstantCompressibilityDensities(p_ref = 150*bar, density_ref = rhoS, compressibility = c)
kr = BrooksCoreyRelativePermeabilities(sys, [2.0, 2.0])
replace_variables!(model, PhaseMassDensities = ρ, RelativePermeabilities = kr);
state0 = setup_reservoir_state(model, Pressure = 150*bar, Saturations = [1.0, 0.0])
dt = repeat([30.0]*day, 12*10)
dt = vcat([0.1, 1.0, 10.0], dt)
inj_rate = Dx*Dx*Dz*0.2/sum(dt) # 1 PVI if average porosity is 0.2
rate_target = TotalRateTarget(inj_rate)
I_ctrl = InjectorControl(rate_target, [0.0, 1.0], density = rhoGS)
bhp_target = BottomHolePressureTarget(50*bar)
P_ctrl = ProducerControl(bhp_target)
controls = Dict()
controls[:Injector] = I_ctrl
controls[:Producer] = P_ctrl
forces = setup_reservoir_forces(model, control = controls)
return simulate_reservoir(state0, model, dt, parameters = parameters, forces = forces, info_level = -1)
endsimulate_qfs (generic function with 2 methods)Simulate base case
This will give the solution with uniform porosity of 0.2.
ws, states, report_time = simulate_qfs();Plot the solution of the base case
We observe a radial flow pattern initially, before coning occurs near the producer well once the fluid has reached the opposite corner. The uniform permeability and porosity gives axial symmetry at
using GLMakie
to_2d(x) = reshape(vec(x), nx, nx)
get_sat(state) = to_2d(state[:Saturations][2, :])
nt = length(report_time)
fig = Figure()
h = nothing
ax = Axis(fig[1, 1])
h = contourf!(ax, get_sat(states[nt÷3]))
ax = Axis(fig[1, 2])
h = contourf!(ax, get_sat(states[nt]))
Colorbar(fig[1, end+1], h)
fig
Create 10 realizations
We create a small set of realizations of the same model, with porosity that is uniformly varying between 0.05 and 0.3. This is not especially sophisticated geostatistics - for a more realistic approach, take a look at GeoStats.jl. The main idea is to get significantly different flow patterns as the porosity and permeability changes.
N = 10
saturations = []
wells = []
report_step = nt
for i = 1:N
poro = 0.05 .+ 0.25*rand(Float64, (nx*nx))
ws_i, states_i, rt = simulate_qfs(poro)
push!(wells, ws_i)
push!(saturations, get_sat(states_i[report_step]))
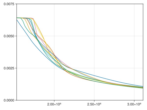
endPlot the oil rate at the producer over the ensemble
using Statistics
fig = Figure()
ax = Axis(fig[1, 1])
for i = 1:N
ws = wells[i]
q = -ws[:Producer][:orat]
lines!(ax, report_time, q)
end
xlims!(ax, [mean(report_time), report_time[end]])
ylims!(ax, 0, 0.0075)
fig
Plot the average saturation over the ensemble
avg = mean(saturations)
fig = Figure()
h = nothing
ax = Axis(fig[1, 1])
h = contourf!(ax, avg)
fig
Plot the isocontour lines over the ensemble
fig = Figure()
h = nothing
ax = Axis(fig[1, 1])
for s in saturations
contour!(ax, s, levels = 0:0.1:1)
end
fig
Example on GitHub
If you would like to run this example yourself, it can be downloaded from the JutulDarcy.jl GitHub repository as a script, or as a Jupyter Notebook
This page was generated using Literate.jl.